رشد ۵۷.۷ درصدی حق بیمه تولیدی در ۷ ماه سال جاری
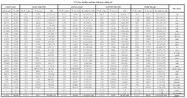
به گزارش خبرگزاری آنا، بیمه مرکزی جمهوری اسلامی ایران، اخیرا آمار هفت ماهه نخست صنعت بیمه در سال ۱۴۰۳ را منتشر کرده که بر اساس آن بیش از ۴۵.۳ میلیون فقره بیمه نامه به ارزش ۲۵۱.۳ هزار میلیارد تومان صادر شده که حاکی از رشد ۵۷.۷ درصدی در حق بیمه تولیدی و ۱۷.۱ درصدی در تعداد خسارات پرداختی طی این بازه زمانی دارد.
خسارت پرداختی همه رشتههای بیمهای در این مدت، بالغ بر ۱۲۱.۶ همت برآورد شده که نسبت به هفت ماهه اول سال گذشته ۵۶.۸ درصد رشد را نشان میدهد.
حق بیمه تولیدی رشتههای بیمه درمان و زندگی به ترتیب با ۴۲.۳ درصد و ۱۳ درصد سهم از حق بیمه تولیدی (میزان هزینه کرد) و رشد حق بیمه معادل ۸۹.۴ درصد و ۷۱.۹ درصد، موجبات رشد ۵۷.۷ درصدی حق بیمه تولیدی بازار بیمه را در این مدت، فراهم فراهم ساخته است.
با این حال، قبال ذکر است که، نرخ تورم و افزایش هزینه حق بیمه تولیدی، نقش مهمی در رشد میزان و حجم حق بیمه تولیدی دارد.
همچنین بیمههای شخص ثالث و مازاد و بدنه اتومبیل به ترتیب با ۲۳.۱ و ۵.۱ درصد از حق بیمه تولیدی و رشد ۴۳.۹ و ۳۵.۳ درصدی در قیاس با مدت مشابه سال قبل (هفت ماهه نخست ۱۴۰۲) در جایگاههای سوم و چهارم رشته بیمههای اصلی در حق بیمه تولیدی، قرار گرفتهاند.
علاوه بر این، بیشترین سهم از خسارت پرداختی در بازار بیمه همچنان به چهار رشته درمان، شخص ثالث-مازاد، زندگی و بدنه اتومبیل به ترتیب با ۴۳.۲، ۲۷.۳، ۱۰.۵ و ۹ درصد (در مجموع ۹۰ درصد) اختصاص دارد و ۱۰ درصد مابقی سهم خسارت در ۱۲ رشته بیمه دیگر پرداخت شده است.
در هفت ماهه نخست امسال ۱۱ شرکت بیمهای ۸۳.۱ درصد از حق بیمه تولیدی بازار بیمه را به خود اختصاص دادهاند.
شرکتهای عمده حق بیمه تولیدی
براساس دادههای بیمه مرکزی، در بررسی سهم شرکتهای بیمه در بازار، ۱۱ شرکت بیمه ایران (با ۱۹.۱ درصد)، دانا (با ۱۱.۱ درصد)، دی (با ۱۰.۶ درصد)، آسیا (با ۹.۸ درصد)، البرز (با ۶.۵ درصد)، ملت (با ۶.۲ درصد)، کوثر (با ۵.۸ درصد)، پارسیان (با ۳.۹ درصد)، پاسارگاد (با ۳.۸ درصد) و دو بیمه معلم سینا هرکدام (با ۳.۲ درصد) در مجموع ۸۳.۱ درصد از حق بیمه تولیدی بازار بیمه را به خود اختصاص داده و ۱۶.۹ درصد مابقی حق بیمه، توسط ۱۸ شرکت دیگر بیمهای تولید شده است.

شرکتهای عمده در پرداخت خسارات کداماند؟
همچنین، سهم شرکتهای بیمه از خسارت پرداختی بازار به طور عمده به ۸ شرکت بیمه ایران (با ۲۳.۶ درصد)، دانا (با ۱۳ درصد)، آسیا (با ۱۰.۲ درصد)، دی (با ۸.۳ درصد)، پارسیان (با ۵.۲ درصد)، البرز (با ۵.۲ درصد)، کوثر (با ۵.۱ درصد) و سینا (با ۴.۲ درصد) تعلق دارد (در مجموع با ۷۴.۹ درصد) و ۲۵.۱ درصد خسارتها نیز توسط ۲۰ شرکت بیمه دیگر پرداخت شده است.
انتهای پیام/
- تور استانبول
- غذای سازمانی
- خرید کارت پستال
- لوازم یدکی تویوتا قطعات تویوتا
- مشاوره حقوقی
- تبلیغات در گوگل
- بهترین کارگزاری بورس
- ثبت نام آمارکتس
- سایت رسمی خرید فالوور اینستاگرام همراه با تحویل سریع
- یخچال فریزر اسنوا
- گاوصندوق خانگی
- تاریخچه پلاک بیمه دات کام
- ملودی 98
- خرید سرور اختصاصی ایران
- بلیط قطار مشهد
- رزرو بلیط هواپیما
- ال بانک
- آهنگ جدید
- بهترین جراح بینی ترمیمی در تهران
- اهنگ جدید
- خرید قهوه
- اخبار بورس